郭建春(本刊编委),等:深层碳酸盐岩储层改造理念的革新 ——立体酸压技术
刊出时间:2020-03-16
作者简介:郭建春,1970 年生,二级教授,博士研究生导师,本刊编委;主要从事油气藏开采和增产技术方面的科研与教学工作。地址:(610500)四川省成都市新都区新都大道8 号。ORCID: 0000-0001-9601-1203。
E-mail: guojianchun@vip.163.com
通信作者:苟波,1984 年生,讲师、博士;主要从事油气藏增产技术方面的研究与现场应用工作。地址:(610500)四川省成都市新都区新都大道8 号。ORCID: 0000-0003-4501-0774。
E-mail: swpugb@163.com
郭建春1 苟 波1,2 秦 楠1 赵俊生3
伍 林3 王坤杰4 任冀川1
1.“油气藏地质及开发工程”国家重点实验室• 西南石油大学
2. 西南石油大学博士后科研流动站
3. 中国石油西南油气田公司川中油气矿
4. 中石化西南石油工程有限公司井下作业分公司
摘 要:酸化压裂是碳酸盐岩油气藏高效开发不可或缺的手段,对于深层、超深层海相碳酸盐岩油气藏,由于其工程地质特征的特殊性,通过现有的酸化压裂技术要形成复杂裂缝网络难度大。为了实现深层、超深层碳酸盐岩油气藏的高效立体开发,从我国深层海相碳酸盐岩油气藏的工程地质特征出发,揭示了该类储层酸压改造的难点;然后,以实现该类油气藏高效立体开发为目标,充分借鉴体积酸压、深度酸压等技术,提出了立体酸压的技术理念,阐明了其技术内涵,并且详述了立体酸压所包含的关键技术,进而指出了下一步的发展方向。研究结果表明:①立体酸压技术包括3 个基本内涵——根据储层类型选择相应的酸液深穿透技术,实现储层平面上的充分改造;形成在高闭合压力下具有较高导流能力的复杂酸压裂缝体;沿长井段合理部署酸压裂缝体,实现储层在井筒方向上的充分改造。②立体酸压包含3 项关键技术——多场多尺度多流体耦合作用下酸液有效作用距离预测技术;酸压复杂裂缝体导流能力优化技术;水平井/ 大斜度井长井段储层精细布酸技术。③要推动立体酸压技术的进一步发展,还需要开展3 个方面的科研攻关——超深储层破裂压力预测及降低破裂压力技术;强非均质储层酸压裂缝体形态预测技术;深度超过7 000 m 长井段储层分段动用技术和新型耐高温、缓速、低摩阻系数液体技术。
关键词:深层;海相碳酸盐岩;储集层;立体酸压;酸压裂缝体;酸蚀缝长;流动能力;长井段布酸
0 引言
碳酸盐岩油气藏在全球油气资源中占有极其重要的地位,其油气资源量约占全球油气资源量的70%,探明可采储量约占全球油气探明可采储量的50% ;碳酸盐岩油气主产区分布于中东、北美、中亚等地区,合计可采储量占全球碳酸盐岩油气藏可采储量的96.8%[1]。国外碳酸盐岩油气藏的规模通常较大且以孔隙型储层为主,井间连通性较好,常规基质酸化或酸压是其主要的增产手段,工艺对象及技术相对简单[2-4]。中国碳酸盐岩油气资源丰富,主要分布于塔里木、四川、鄂尔多斯、渤海湾等盆地;据2015 年全国油气资源动态评价结果,碳酸盐岩油气资源量占全国油气资源总量的27%[5]。近年来,随着深层油气勘探开发理论与技术的不断创新,先后发现了安岳、普光、元坝、塔中、龙岗等一批深层海相大型、特大型碳酸盐岩气田,已成为天然气产量贡献的基石[6]。“十三五”以来,我国碳酸盐岩油气藏勘探开发逐渐迈向超深层(埋深大于6 000 m,如塔里木盆地寒武系肖尔布拉克组轮探1 井完钻井深为8 882 m)、超高温(温度超过150 ℃,如四川盆地大塔场构造震旦系灯影组塔探1 井井底温度为212 ℃)、超高压(井底压力大于100 MPa,如川西地区茅口组双探1 井井底压力为122.9 MPa),已成为深层油气勘探的热点和油气储量增长的主体,展现了巨大的油气资源接替潜力。因此,加快深层碳酸盐岩油气藏勘探与开发,对于提升我国油气自给能力、保障国家能源安全具有重要的意义[7-9]。酸化压裂是碳酸盐岩油气藏高效开发不可或缺的手段,与物探、钻井技术并列成为三大石油工程技术[9]。中国深层海相碳酸盐岩油气藏工程地质特征极其复杂,开展以沟通远距离储层为目的的传统深度酸压,难以获得油气井的长期稳产。近年来,借鉴页岩气、致密油储层体积压裂改造的核心技术理念,即通过“打碎”储层,形成人工裂缝网络[10-12],在鄂尔多斯、渤海湾、塔里木等盆地,针对裂缝型碳酸盐岩储层,采用大排量与大液量、不同黏度压裂液与酸液、纤维与颗粒暂堵转向等方式来激活天然裂缝,形成复杂缝网,进而实现体积酸压的目标[13-19]。然而,通过理论研究与现场实践,发现在深层、超深层海相碳酸盐岩油气藏储层要形成复杂缝网,面临着两个瓶颈问题:①虽然碳酸盐岩储层发育天然裂缝、较大溶洞,有利于形成复杂裂缝[20-21],但是,储层地应力高又导致复杂缝网的形成难[22] ;②现场施工受到深井、超深井作业技术能力与作业水平、井口与设备的耐高压能力以及资金投入过大等客观条件的限制[12]。近年来,塔里木盆地缝洞型油藏的开发实践表明:以储集体为研究对象,在研究其空间配置、展布的基础上,进行立体开发是实现深层、超深层非均质碳酸盐岩油藏高效开发的有效手段[23]。立体改造技术是实现立体开发的关键技术之一,从而实现储层在平面和纵向上的充分改造;体积酸压和深度酸压技术更多关注的是储层在平面上的改造,而立体酸压技术是在体积改造技术理念上的拓展与升华[12]。为此,笔者从我国深层海相碳酸盐岩油气藏的工程地质特征出发,揭示了该类储层酸压改造的难点;然后,以实现该类油气藏高效立体开发为目标,充分借鉴体积酸压、深度酸压等技术,将酸压改造理念从平面拓展到纵向,提出了立体酸压技术理念,阐明了其技术内涵,并且详述了立体酸压所包含的三大关键技术,进而提出了下一步发展方向,以期通过立体酸压理念的推广来促进深层、超深层碳酸盐岩储层酸化压裂改造技术的进步。1 中国海相碳酸盐岩油气藏工程地质特征的特殊性
与国外海相碳酸盐岩油气藏相比,中国海相碳酸盐岩油气藏具有独特的地质特征[24],其中与储层改造密切相关的地质特征表现在以下3 个方面。1.1 储层地层时代老、埋藏深,总体表现出高温、高压特征
国外海相碳酸盐岩储层以中生界—新生界为主,埋深主要介于2 000 ~ 4 500 m,地层温度大多数都低于120 ℃,以常温常压为主。中国海相碳酸盐岩地层分布于前新生界、中生界、古生界和元古界,三大海相碳酸盐岩油气盆地处于规模开发的主力层系均位于古生界;埋深普遍超过5 000 m,地层温度多数在150 ℃左右,地层压力也较高(表1),总体具有高温、高压的特征[25]。表1 我国主要海相碳酸盐岩油气田基本情况表[25-26]
1.2 储层类型多、物性差且非均质性极强,属于典型的低渗透—致密储层
国外碳酸盐岩油气层地层时代较新,未经历大的构造运动,储层受到的破坏较小,横向连片;储集空间以原生孔隙为主,储层物性较好,孔隙度介于5% ~ 30%,渗透率介于10 ~ 9 000 mD,油气井产量差异较小,并且产量较稳定[4]。国内海相碳酸盐岩油气层地层时代古老,受多期成藏改造的影响,储层类型多样,根据储层成因可以分为以下4 种类型:①礁滩型储层,储集空间主要为溶蚀孔、洞,受沉积相带控制;②岩溶储层,分为灰岩潜山岩溶、白云岩风化壳和内幕岩溶3 类,储层基质差,储集空间以岩溶缝洞为主,非均质性极强,受成岩作用控制;③复合型储层,主要是结晶白云岩储层,储集空间以晶间孔和晶间溶孔为主,受成岩作用和沉积作用共同控制;④断裂带控制的裂缝性储层,储层整体分割、局部联通[25,27]。已开发的碳酸盐岩油气藏单一成因储层发育较少,常见多类型的储层垂向叠置,呈“多层楼”式分布,不同成因形成的储层搭配组合,导致储层非均质性极强,且横向分布不稳定。同时,国内海相碳酸盐岩油气藏储层物性差,孔隙度介于2% ~ 15%,渗透率普遍小于1 mD(表1)。基于储层储集空间划分,将碳酸盐岩储层分为孔隙(洞)型、裂缝—孔隙型、缝洞型、裂缝型4 类[28]。储层的储集空间类型复杂且非均质性强,不同尺度孔、洞、缝的渗流能力差异大。因此常常表现出生产井初期油气产量较高但稳产困难的动态特征,并且井间产能差异大。1.3 储层流体类型及分布复杂
深层海相碳酸盐岩油气藏成藏过程的多样性导致储集空间展布极其复杂,从而使得储集空间中的地层流体分布复杂,同时受到复杂压力系统的影响,导致油气资源的充分动用难度大、采收率偏低[1]。2 深层、超深层非均质碳酸盐岩储层酸压技术面临的挑战
中国海相碳酸盐岩储层物性差、非均质性强,酸压改造是实现油气井增产的“临门一脚”技术,然而,由于深层、超深层碳酸盐岩储层严苛、复杂的工程地质特性,可简述为“两高一强”(高应力、高温、强非均质性),给酸压技术的成功实施带来了巨大挑战。2.1 高应力地层压开、建立施工排量困难,酸压裂缝易失效
2.1.1 压开地层、建立施工排量难
由于深层、超深层碳酸盐岩储层埋藏深、物性差、地应力高,在钻完井过程中,储层长期暴露于高密度钻井液环境中,储层污染程度严重,导致地层吸液困难,进而难以破裂形成人工裂缝;同时受井口和设备承压能力的限制,难以建立较大施工排量,使酸液在储层中深穿透受到限制。如四川盆地彭州气田中三叠统雷口坡组PZ113 井,该井目的层段深度介于6 294 ~ 6 335 m,储层发育少量天然裂缝,受密度为1.50 g/cm3 钻井液的长期伤害和高地应力(最小水平主应力为137 MPa)双重作用,经过6 次酸液震荡试挤,均未压破储层;四川盆地川西地区中泥盆统观雾山组ST3 井目的层段(井深介于7 569.0 ~ 7 601.5 m)发育部分孤立孔缝,最小水平主应力为159.3 MPa,整个酸压施工过程最大施工排量仅为1.0 m3/min,酸液仅作用于近井筒范围的储层,难以实现深穿透。确保压开地层、建立施工排量是深井、超深井实现有效酸压改造的第一步。深层、超深层碳酸盐岩储层埋藏深、闭合压力高,酸压裂缝导流能力较低,且裂缝容易失效,从而使酸压后油气井的产量递减快,稳产困难[29]。2.2 高温、超高温加剧酸液对管柱的腐蚀,加快酸岩反应速率
2.2.1 加剧酸液对管柱腐蚀,影响施工和生产安全
高温—超高温(温度大于150 ℃)、高压储层,即使优选耐酸性能较好的管材和缓释效果较好的酸液体系,酸液与地层酸性气体(CO2、H2S 等)在高温高压环境中与管柱接触仍会加剧管柱腐蚀,容易导致管柱窜漏,影响酸压施工和生产安全。为降低地层破裂压力,常采用酸液直接压开储层,酸液在井筒中的长期滞留会加剧井筒管柱的腐蚀;若地层长期未压破,管柱腐蚀问题会更严重。如前述PZ113井地层温度为155 ℃,即使采用了耐160 ℃高温的酸液体系和优良管材,由于地层多次试挤未破,酸液在井筒中的滞留时间达13 h,超过酸液允许滞留时间,导致井筒管柱出现了明显的腐蚀脱扣现象。2.2.2 加快酸岩反应速率,缩短酸液穿透距离,影响酸压效果我国海相碳酸盐岩深井、超深井地层温度普遍大于150 ℃,甚至突破200 ℃,即使采取前置液进行降温,但降温范围主要集中在近井地带,裂缝深部仍然是高温环境,从而加快了酸岩反应速率,实现酸液深穿透难度大。因此对酸液体系耐高温、缓速性能的要求极其严苛。2.3 强非均质储层酸压裂缝形态预测难,长井段储层充分动用难度大
2.3.1 酸压裂缝形态难以准确预测,实现精准酸压的工程设计难
酸压过程实质上是物理、化学作用耦合的复杂过程,包括水力裂缝扩展及酸液刻蚀裂缝(即酸液在水力裂缝和沿水力裂缝壁面的天然裂缝、孔洞持续流动、反应,并引起裂缝壁面岩石非均匀溶解),在闭合压力下酸刻蚀裂缝逐渐闭合,形成油气“高速流动通道”[30]。由于我国海相碳酸盐岩岩石矿物组成、渗流介质(天然裂缝、溶蚀孔洞)空间分布的强非均质性、随机性,酸液在不同尺度介质(水力裂缝为101 ~ 102 m 级、天然裂缝为10-2 ~ 101 m 级、储层基质孔隙为10-3 m 级)流动反应的复杂性,导致酸压过程中裂缝形态的预测难,酸压工程设计的准确性差。如四川盆地安岳气田灯影组MX108 井酸压设计缝长为59.7 m,而酸压后试井解释获得的酸蚀缝长仅占设计缝长的43.7%,未达到设计预期目标。2.3.2 长井段储层强非均质性导致酸压裂缝的合理部署难,实现全井段储层充分改造的难度大,储量有效动用难度大长井段储层的矿物分布、天然裂缝与溶蚀孔洞等储集空间分布非均质性强,钻完井过程中工作液对不同位置储层造成的伤害差异较大,导致全井段吸酸能力差异较大。若采用笼统酸压,对于直井,若受到水平层理、弱面影响,水力裂缝纵向扩展受限,难以确保全井段储层的充分改造[31-32];对于大斜度井、水平井,若裂缝起裂位置不确定,则难以确保有足够数量的酸压裂缝来实现储量的充分动用。沿长井段部署多条酸压裂缝是实现全井段充分改造的有效手段,但由于储层物性、含油气性、应力等方面差异较大,裂缝的合理部署和相应的分段、暂堵转向措施的选择都是难题。3 立体酸压的技术理念与内涵
近年来,塔里木盆地塔河油田针对缝洞型碳酸盐岩油藏的开发,提出了立体开发技术理念[23],即基于储层精细描述技术,在明确储集体空间配置和储集体大小的基础上,以“体”为对象,利用储层改造技术,最大化提高平面上、纵向上的储量动用程度,提高单井产量与稳产能力,从而实现油藏的高效开发。可以看出,要实现油气藏的高效开发,需要对储层进行全方位的立体改造。3.1 立体酸压技术理念
立体酸压技术以形成裂缝体为核心,以单井为“媒”,优化酸压裂缝体的部署,充分动用长井段穿越的强非均质储层,实现不同储集空间类型储层在平面上、纵向上的立体改造。酸压裂缝体为酸压后形成的酸蚀体和非酸蚀体共同组成的具有较高导流能力的流动单元。酸蚀体由酸蚀天然裂缝、水力裂缝和蚓孔组成;非酸蚀体由未酸蚀天然裂缝、水力裂缝、填砂裂缝以及相连通的孔隙组成,且与酸蚀体相连通。酸压裂缝体包含了深度酸压形成的高导流长裂缝[33]、复合酸压形成的酸蚀填砂裂缝[34] 及体积酸压形成的复杂裂缝[13-19],其在全井段的合理部署涉及暂堵转向酸压、分层/ 分段酸压。3.2 立体酸压技术内涵
3.2.1 根据储层类型,选择相应的酸液深穿透技术,最大程度沟通缝长方向上的远井储集体,实现储层平面上的充分改造
酸压改造目的是搭建油气从基质流向井筒的“高速公路”,对于不同类型的储层,酸压后需形成的裂缝形态也不同(图1)。孔隙型储层基质虽具有一定的渗流能力,但由于孔隙连通性较差,酸压裂缝最大化增加裂缝改造面积的同时,还需要通过酸蚀蚓孔沟通裂缝壁面上的溶蚀孔洞[35-36] ;缝洞型储层由于储集体空间展布非均质性强,酸压的主要目标是通过裂缝体最大化地沟通缝洞储集体,形成高导流主裂缝,当缝洞储集体不在最大水平主应力方向时,还需结合暂堵转向技术或靶向酸压技术沟通缝洞[17-18] ;裂缝型储层基质基本不具备渗流能力,裂缝是主要流动通道,酸压需要造复杂裂缝,常借助缝内暂堵技术增加裂缝复杂性[13-16]。
3.2.2 形成复杂酸压裂缝体,保证在高闭合压力下具有较高导流能力以满足油气井的长期生产需求
在酸压过程中,酸液在水力裂缝、天然裂缝、孔隙中流动、反应,由于岩石矿物组成、流动介质尺度等存在差异使得酸溶蚀后形成不同尺度的酸蚀体(包括酸蚀人工裂缝、天然裂缝、蚓孔等)以及非酸蚀体(包括非酸蚀裂缝、填砂裂缝),图2 展示了四川盆地安岳气田灯影组碳酸盐岩储层从水力裂缝入口到水力裂缝末端,鲜酸(酸液浓度为20%)、余酸(酸液浓度为15%)、残酸(酸液浓度为2%)对岩样的差异化溶蚀情况。形成的复杂酸压裂缝体在各级裂缝及其支撑模式的共同影响下,可以保证高闭合应力下仍然具备较高的导流能力。
3.2.3 在长井段上合理部署酸压裂缝体,实现储层在长井段方向上和纵向上的充分改造
合理部署酸压裂缝体的关键是在地质甜点和工程甜点研究的基础上,建立目标储层精细地质模型,以最大化提高储量动用程度为目标,基于不同类型储层酸压裂缝体形态与导流能力,优化部署酸压裂缝体的空间位置和数量,实现全井段的储层改造。对于直井,针对水平层理及弱面发育、应力差异较大的储层,酸压裂缝体的部署还需考虑酸压裂缝在纵向上的扩展情况,确保酸压裂缝体全覆盖改造目的层,并实现储集层的纵向动用。对于水平井、大斜度井,通过酸压裂缝体的合理部署,可以实现全井段的充分改造,但储层在纵向上的改造效果受制于酸压裂缝在纵向上的扩展情况。国外在进行多层页岩储层的压裂改造时,纵向上叠置部署水平井,交错布缝,利用裂缝高度的扩展实现纵向上储层的充分动用[37] ;受钻井成本的限制,在塔里木盆地缝洞型油藏储层进行酸压改造时,基于储层缝洞体三维精细刻画,利用直井/ 大斜度井在不同深度多次侧钻,并进行酸压改造,实现了缝洞体的有效动用,取得了较好的开发效果[23]。多井型立体布井+立体酸压是厚层碳酸盐岩储层立体开发的发展方向。在工程技术上,借助机械转向技术(封隔器、连续油管、密封暂堵球)、化学流体转向技术(转向酸、交联酸、泡沫酸)和固体物质转向技术(纤维、含蜡玻璃粉、暂堵颗粒、支撑剂等)实现酸压裂缝体之间的分割。机械转向技术是确保裂缝体分割最有效的工程技术,称为“硬分层”技术,但它受井眼尺寸、完井方式、地层温度、流体性质等条件的影响较大;化学流体转向技术常与固体物质(纤维、颗粒等)转向技术结合使用,称为“软分层”技术,虽受前述条件的影响较小,但分层效果不确定。4 立体酸压的关键技术
要在深层、超深层海相碳酸盐岩储层获得立体酸压改造的成功,必须依靠以下三大关键技术:多场多尺度多流体酸液有效作用距离预测技术、酸压复杂裂缝体流动能力优化技术和长井段储层均匀布酸技术。4.1 多场多尺度多流体耦合作用下酸液有效作用距离预测技术
4.1.1 多场多尺度多流体全耦合酸压理论
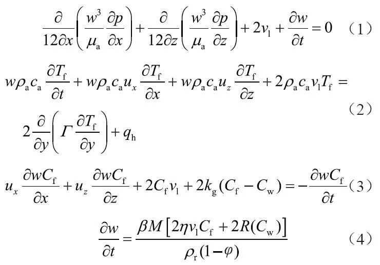
与水力压裂不同,酸化压裂是通过酸液非均匀刻蚀裂缝,并且在活性酸有效作用距离范围内的裂缝段才会具备有效导流能力。因此能否准确预测酸液有效作用距离是酸压设计的核心问题。酸压本质上是压裂酸化工作液(包含非反应性压裂液、酸液)在不同尺度介质中流动时产生的传热、传质过程,它是一个多场多尺度多流体的全耦合过程。因此,酸液有效作用距离的预测极其复杂,其数学模型可以分为3 个模块:水力裂缝形态构建模块、酸刻蚀模拟模块和导流能力计算模块。我国海相碳酸盐岩储层非均质性强,酸压工艺多样、复杂,很难用一种数学模型解决所有酸压模拟问题[30]。经典酸压模型主要模拟酸液在主裂缝中的刻蚀,忽略了酸液在天然裂缝、孔隙介质中的溶蚀反应;而立体酸压技术以酸压裂缝体为目标,不仅考虑酸液在主裂缝中的刻蚀,还需考虑酸液在天然裂缝、孔隙介质中的溶蚀反应,进而预测酸蚀体的形态和流动能力。以裂缝型碳酸盐岩储层为例,由于我国裂缝型碳酸盐岩储层的基质物性普遍较差,形成酸蚀蚓孔的难度较大,忽略酸液、压裂液在基质孔隙中的滤失,假设天然裂缝与水力裂缝正交,水力/ 天然裂缝中的运动方程、能量守恒方程、酸岩反应传质方程、酸蚀缝宽动态变化方程依次为[38-41] :
式中x、y、z 分别表示水力/ 天然裂缝在各自局部坐标下长、宽、高方向上的坐标,m ;w 表示水力/ 天然裂缝宽度,m ;μa 表示酸液黏度,Pa·s ;p 表示水力裂缝、天然裂缝内流体压力,Pa ;vl 表示酸液从水力/ 天然裂缝向基质滤失的速度,m/s ;t 表示注酸时间,s ;ρa 表示酸液密度,kg/m3 ;ca 表示酸液比热容,J/(kg·K) ;Tf 表示水力/ 天然裂缝内酸液温度,K ;ux、uz 分别表示水力/ 天然裂缝在各自局部坐标下长度、高度方向上的酸液流速,m/s ;Γ 表示酸液导热系数,W/(m·K) ;qh 表示酸岩反应热,J/(m2·s) ;Cf 表示水力/ 天然裂缝内的酸液浓度,mol/m3 ;kg 表示裂缝内酸液传质系数,m/s ;Cw 表示裂缝壁面的酸液浓度,mol/m3 ;β 表示酸液对岩石矿物的溶解能力,kg/kg ;M 表示岩石摩尔质量,kg/mol ;η 表示滤失酸液参与壁面溶蚀的质量百分比,一般约等于0 ;R 表示酸岩反应速率,mol/(m2·s) ;ρr 表示岩石密度,kg/m3 ;φ 表示岩石孔隙度。将式(1)~(4)与裂缝扩展方程联立求解,可获取裂缝型碳酸盐岩储层的酸蚀裂缝形态,通过分析认为影响酸液穿透距离的主要因素包括以下4 个。酸压过程中井筒内发生的热传递(简称井筒传热)、裂缝中流动产生的热交换(简称裂缝换热)及酸岩反应热等复合热效应提高了裂缝内酸液的温度,从而明显缩短酸液的有效作用距离,加剧酸液在近井裂缝的消耗,形成“大肚子”现象;当忽略井筒传热、酸岩反应热时,由于酸岩反应速率受温度影响明显,会形成缝口刻蚀较少、缝中刻蚀较多的“钟形”刻蚀现象(图3),图3 中无因次缝长为酸蚀缝长与压裂缝长的比值,然而,在我国深层—超深、高温—超高温地层要形成该现象很困难。4.1.2.2 酸液体系
酸岩反应动力学参数决定了酸岩反应速率快慢,进而影响酸液有效作用距离。缓速性能优良、黏度较高的酸液体系通常易获得较长的酸蚀有效缝长,有利于酸液深穿透(图4)。4.1.2.3 酸压工艺
注入非反应性前置液能有效降低裂缝的温度,从而可以有效提高酸蚀有效缝长(图5-a),图5 中无因次酸液浓度为裂缝中某位置的平均酸液浓度与初始酸液浓度的比值;同时,提高注酸排量,也有利于酸液深穿透(图5-b)。因此,“前置液+大排量注酸”工艺有利于延长高温储层中酸液的有效作用距离。4.1.2.4 天然裂缝
天然裂缝的存在会显著降低压裂液、酸液的造缝效率,同时增加酸蚀裂缝的复杂程度,限制了酸液在缝长方向上的对流传质,缩短了酸液有效作用距离(图6)。天然裂缝的滤失能力受到天然裂缝密度、宽度、长度和基质渗透率的共同影响。酸液有效作用距离是以上4 个因素耦合作用后产生的结果,对特定地质条件的储层,各影响因素的作用大小有差异,此时酸压工艺也就相应存在着差异[42]。4.1.3 提升酸液有效作用距离的措施
在现有工程技术条件下,为了最大化延长酸液有效作用距离,可采用以下措施[13-19, 33-34]。4.1.3.1 充分挖掘液体性能,优化注液阶段和液体组合
在造缝阶段,采用高黏、耐高温压裂液造主缝,有利于降低液体滤失和裂缝温度,为后续酸液进入裂缝提供良好的反应环境;在酸刻蚀阶段,采用缓速性能优良的高黏酸液或自生酸刻蚀主裂缝;在天然裂缝激活阶段,采用滑溜水激活天然裂缝、低黏酸液溶蚀天然裂缝。4.1.3.2 优化管柱结构、工艺流程,提高注液排量华北地区潜山油藏、顺北地区断控油藏深井、超深井常采用直径为114 mm 的油管浅下至3 500 m左右以确保整个压裂施工过程的排量提升,最大施工排量大于10 m3/min ;在部分破裂压力异常高的储层先采用酸液进行预处理,压破储层,待排量充分建立起来后再开展主压裂施工;常选用摩阻系数较低的液体体系以确保施工排量稳定。4.1.3.3 造主缝阶段,根据天然裂缝发育情况,采用一定暂堵措施造主缝阶段选用转向酸或添加可降解的暂堵颗粒,暂时封堵天然裂缝以确保主裂缝延伸、酸蚀的效果;暂堵剂的选用应根据储层特征、酸压工艺和现场施工情况灵活调整。4.2 酸压复杂裂缝体导流能力优化技术
4.2.1 复杂裂缝体导流能力计算方法
酸压裂缝体由不同尺度的酸蚀体和非酸蚀体组成,酸压裂缝体的导流能力是评价酸压效果的关键指标,也是裂缝体优化部署的主要依据之一。室内实验是评价酸压裂缝体导流能力最直接的手段。笔者将酸压复杂裂缝体等效为酸蚀主裂缝(含填砂裂缝、酸刻蚀裂缝)、酸蚀分支缝(酸蚀天然裂缝、酸蚀诱导裂缝)及未反应次生裂缝3 级(图7)[43],图中ERi 表示各级裂缝等效流动阻力,下标i 为1-1、1-2、2、3、4。由水电相似原理,可得复杂裂缝体等效流动阻力ERt 计算式为:4.2.2 复杂裂缝体导流能力测试实验
对于酸蚀裂缝、自支撑裂缝、填砂裂缝,由于形成方式及实验装置存在差异,笔者建议分开测试与评价,并按照式(8)计算酸压裂缝体等效导流能力。采用西南石油大学自主研制的酸压裂缝导流能力测试系统,可以实现酸蚀裂缝、剪切自支撑裂缝、填砂裂缝的导流能力测试与评价。该系统包括多功能剪切错位造缝模块、酸刻蚀模拟模块、裂缝面3D激光扫描模块及导流能力测试模块。实验岩样选取井下岩心,若选择露头代替,则需要注意露头与储层岩石的矿物组成、物性、天然裂缝、层理等方面是否匹配,以确保所选露头具有代表性。实验温度根据裂缝所处位置的温度来确定,注液排量按照雷诺数相似准则将工程尺度下的注液排量转化为实验尺度下的注液排量[44]。酸压主裂缝是连接油气储层与井筒的重要通道,因此酸蚀主裂缝导流能力的评价尤其重要。碳酸盐岩储层具有强非均质性,因此酸压形成的酸刻蚀裂缝形态及导流能力也存在明显差异。图8 展示了岩石矿物组成的差异对酸刻蚀形态的影响,M 组岩板灰岩与白云岩交错分布,碳酸盐岩矿物总含量为98.8% ;而F 组岩板非酸溶性矿物(黏土、石英、钾长石)含量为18%,其余为白云岩。在同样的实验条件下,酸刻蚀后,M 组岩板表面洁净,且有明显的酸刻蚀流动通道(图8-a);而F 组岩板表面覆盖一定黄色“泥质”物,未见明显的酸刻蚀流动通道(图8-b)。图8中高程表示岩面任意一点的高度。如图9 所示,酸刻蚀后,M 组岩板裂缝的导流能力明显高于F 组,尤其当闭合压力大于15 MPa 后,差异更加明显;当F 组岩板酸蚀裂缝采用40/70 目支撑剂来填充时,即使闭合压力大于30 MPa,裂缝导流能力仍比较稳定且明显高于酸蚀裂缝,可见支撑剂的充填有利于导流能力的长期保持。因此,对于非酸溶性矿物含量较高的储层,建议酸压施工时采用大排量(大于8 m3/min),并且加入一定40/70 目的陶粒,有利于改善酸压裂缝导流能力并保持其稳定。对于分支裂缝,考虑到酸液在主裂缝中已有部分消耗,因此测试了余酸(酸液浓度为15%)作用后裂缝的导流能力,结果表明F 组分支缝在中高闭合压力下仍然具有一定的导流能力(图9)。自支撑裂缝(未反应次生裂缝,即已经激活的天然裂缝),即使无明显的酸刻蚀,但依靠错位滑移作用,在高闭合压力下仍具有一定的导流能力(图10)。由式(8)计算了F 组储层在闭合压力41.4 MPa 时,酸压裂缝体等效导流能力为20.1 D·cm,若按照常规双翼裂缝计算,酸蚀裂缝的等效导流能力为10.3 D·cm,约占前者的一半,表明酸蚀天然裂缝的沟通对酸压裂缝体的导流能力有明显贡献,酸压复杂裂缝体与常规双翼裂缝的导流能力差异明显。图10 错位滑移作用对自支撑裂缝导流能力的影响曲线图
4.3 水平井/ 大斜度井长井段储层精细布酸技术
深层白云岩储层自生的致密条带在一定程度上能够延缓流体的运动速度,影响地层压力的传递[45];如果致密条带处于全井段的低破裂压力区,酸压裂缝可能会在致密带扩展,导致所形成的裂缝对油气井产量贡献甚微,因此确定致密条带为渗流屏障的临界条件对于酸压裂缝体的空间部署非常重要。为此,笔者基于储层地质特征,采用油藏数值模拟方法建立机理模型,在经济投产期内,分析致密条带厚度变化对地层压力波及范围的影响,当酸压裂缝中的压力变化无法通过致密条带传递到储层远端时,致密条带即为“渗流屏障区”(图11)。“渗流屏障区”的确定为酸压裂缝体的精细分段部署提供了重要依据。图11 不同酸压裂缝体部署方式下储层压力场模拟结果“裸眼封隔器分段”是长水平井分段酸压广泛应用的技术手段[46]。采用裸眼封隔器机械分段时,滑套位置均位于各井段破裂压力最低位置,且靠近段内中部,以利于形成酸压裂缝体对段内储层进行充分改造;封隔器则位于致密条带的中间位置,尽量避免段内出现致密条带。对于射孔完井的高温高压储层,当井筒不具备机械封隔的条件时,可采用可溶性暂堵球进行投球暂堵、层间转向[17] ;对于衬管完井的水平井,可以采用可降解纤维或“可降解纤维+暂堵颗粒”进行暂堵转向,但该技术主要应用于水平井穿越的储层物性差异较大时, 以改善长井段储层吸酸剖面,未实现真正意义上的多级酸压布缝分段[47-48]。5 立体酸压技术的发展方向
由于我国深层、超深层海相碳酸盐岩储层具有“两高一强”的工程地质特征,要推动立体酸压技术的发展,实现气藏的高效开发,还需要开展以下4 个方面的技术攻关。5.1 超深储层破裂压力预测及降低破裂压力技术
随着我国碳酸盐岩气藏的勘探开发迈向超深层,由于储层埋藏深、地应力高,且长期受高密度泥浆浸泡,常遇到破裂压力高、难以压开的难题,该难题的解决既需要实现破裂压力预测理论的突破,又需要依靠压裂装备的创新,为降低破裂压力提供理论依据和手段。预测该类储层的破裂压力需要对在高温高压条件下,岩石的力学变形、流体渗流、岩石与流体间的化学反应、热交换等多场耦合作用下的岩石力学行为进行研究攻关。5.2 强非均质储层酸压裂缝体形态预测技术
我国深层海相碳酸盐岩储层非均质性强,给酸压裂缝的数值模拟带来极大挑战,酸压模型发展至今仍仅适用于裂缝型储层,与实际的储层地质特征相差甚远。后续建议开展以下两个方面的研究工作:①酸压裂缝在多尺度非连续性介质(孔、洞、缝)中的扩展、延伸行为,关注酸压裂缝在弱面、水平层理、应力差异存在的条件下,在缝高方向上的扩展行为,为厚层、多层储层直井分层以及直井侧钻等提供依据,实现在储层纵向上的充分改造;②多场多尺度多流体作用下的精细化酸刻蚀裂缝行为,酸压模拟物理模型更加接近于储层地质特征和酸压工艺条件。5.3 深度超过7 000 m 长井段储层分段动用技术
目前国内在深度7 000 m 以浅碳酸盐岩储层分段酸化、酸压技术已初步成形,并在四川、塔里木盆地推广应用,但应用于深度超过7 000 m 碳酸盐岩储层的分段酸压技术还需攻关。后续建议开展以下两个方面的研究工作:①研发耐高温高压、适应复杂作业条件的机械分段工具,为机械分段提供可靠保障;②研究暂堵转向机理和研发耐高温暂堵材料,为非机械分段提供科学依据和可靠保障。5.4 耐高温、缓速、低摩阻系数液体技术
通常采用化学合成方法来增大稠化剂分子量,从而增强酸液耐温性,并且增大其黏度,但一般情况下酸液增稠后受到的摩擦阻力较高,不利于其在超深井进行大排量泵送。建议研发新型耐高温、缓速、低摩阻系数的酸液体系,有利于延长酸液的有效作用距离,实现酸压裂缝体对远距离储集体的有效沟通。参考文献请点击下方“阅读原文”查看
编 辑 孔 玲
论文原载于《天然气工业》2020年第2期

基金项目:国家自然科学基金项目“裂缝型碳酸盐岩温度—裂缝渗流—酸岩反应—应力损伤耦合酸化机理研究”(编号:51704249)、国家自然科学基金项目“低渗与致密油气藏压裂酸化”(编号:51525404)、中国博士后科学基金面上项目“深层高温裂缝型碳酸盐岩网络裂缝酸化机理研究”(编号:2017M623063)。